| |
Home Podium Politiek
Religie Hindoeisme
Islam Suriname India
Liefde Jongeren
Literair Poezie Zeepkist
Gastenboek Links
Disclaimer Contact
Kritisch Podium Dewanand
Suriname
Workshop stenciltekst Vedic Mathematics, hsfn congres hindoeisme
en wetenschap donderdag 20 juni 2002
Offeraar Dewanand
Offercode wfor1015
Offerdatum 5 mei 2007
Intern home: Lustrum herdenking poederbrieven
Dewanand wfor1218
Onderwerp: Colloquium Hindoeisme en Wetenschap
Lokatie: Haagse Hogeschool Den Haag.
Georganiseerd door Hindoe Studenten Forum Nederland
Datum: donderdag 20 juni 2002 van 18:00 tot 22:00 uur.
Klik op de figuur om het helemaal te zien.
Link to:
Colloquium Hindoeïsme en
wetenschap, programmaboekje Hsfn, 20 juni 2002
Betreft: uitgereikte stencil met rekenvoorbeelden
(handgeschreven Bladen B1 t/m B9) voor
HSFN Workshop Vedic Mathematics
(HSFN workshop Vedische Wiskunde)
Verzorgd door: Waldo Dewanand
Email waldo@wanadoo.nl
Telefoon: xxx
In deze workshop over Vedische wiskunde zullen er enkele voorbeelden
gegeven worden van de vermenigvuldigingstechnieken die door Jagadguru
Sankaracharya Shri Bharati Krishna Tirthaji in het boek, "Vedic Mathematics"
beschreven zijn. Een uitvoerige behandeling van alle technieken zou teveel
tijd kosten. Daarom is besloten om de materie te beperken tot vermenigvuldigen,
volgens de Urdhva Tiryak en de Nikhilam sutras.
Hieronder wordt geprobeerd een antwoord te formuleren op enkele brandende
vragen.
Wat is Vedische Wiskunde?
Elke rekenkundige operatie is gebaseerd op een bepaald rekenkundig inzicht
en deze is eens door een of andere slimmerik bedacht. Tijdens elk tijdperk
heeft men in elke culturele traditie een eigen rekenstelsel ontwikkeld,
voor het uitvoeren van berekeningen, naargelang de behoeften van de desbetreffende
vakdisciplines.
Het huidige rekenkundige stelsel is totaal gebaseerd op de decimale rekenkunde
en alle operaties worden recht tot rechtaan uitgevoerd. Hierdoor krijgt
de student of leerling geen enkel inzicht in de structuur van de bewerkingen.
In de Vedische Wiskunde worden patronen geanalyseerd en daarna geexpandeerd,
zodat er inzicht ontstaat in cijfermatige wetmatigheden, visueel waarneembare
patronen (aktie beide hersenhelften) en de rekenmethode met het minste
cijferwerk. De rishi's uit het oude India van vele millennia geleden hebben
daarna de waargenomen patronen cryptisch geformuleerd in sutras en deze
verstopt tussen de honderden andere sutras uit de Vedas.
Wat zijn de Vedas?
De Vedas zijn de oudste (bekende) geschriften ter wereld
in de allereerste taal op onze planeet (aarde). Deze taal heet Sanskriet
en de lettertekens waarin deze taal wordt geschreven heten tezamen het
Devnagri geschift, welke ook de oudste en het stabielste geschrift op
onze planeet is.
In de Vedas zijn praktisch alle (abstracte) religieus-filosofische grondregels,
fundamentele stellingen en gebeden opgetekend, die gebruikt of ge(her)interpreteerd
kunnen worden door elk intelligent (levend) wezen op onze planeet. Slechts
de zogenaamde (menselijke) aanhangers van het Hindoeisme hebben tot op
heden hiervan (succesvol) gebruik gemaakt.
Doordat alle teksten in de Vedas in poetische en cryptische verzen zijn
gesteld, is het praktisch onmogelijk om een sluitende interpretatie of
vertaling ervan te realiseren in ons tijdperk.
Wat zijn de voordelen van Vedische Wiskunde?
Vedische Wiskunde maakt mensen minder afhankelijk
van calculators en computers voor simpele rekenkundige operaties, want
die kunnen na enige oefening geheel mentaal worden uitgevoerd, waarna
het antwoord in enkele regels eruit rolt.
Vermenigvuldigen en delen worden leuker, want men kan de weg van de
minste weerstand bewandelen en er ontstaat dieper inzicht in de rekenkundige
operaties en (gevisualiseerde) cijfermatige wetmatigheden die achter
de berekening schuilen.
De linker- en rechterhersenhelft worden optimaal en evenwichtig gebruikt
tijdens het beoefenen van Vedische Wiskunde.
Studenten aan universiteiten en leerlingen van de basisscholen zouden
met veel meer plezier voor wiskundige vakken kiezen, want die zouden
dan niet meer saai zijn.
Wat zijn de nadelen van Vedische Wiskunde?
Een nadeel is dat calculators overbodig worden als iedereen expert zou
worden in de Vedische Wiskunde en misschien wel de hele computerindustrie
failliet zou gaan.
Elk mens zou op een bolleboos of rekenkundig genie lijken, als iedereen
expert zou zijn in de Vedische Wiskunde en het zou dan misschien minder
gezellig worden voor de loltrappers.
Ik kan geen enkel ander nadeel verzinnen.
Is Vedische Wiskunde moeilijk?
Nee hoor, het is doodsimpel. Een kind kan de was doen, na een beetje creatief
studeren en veel oefenen.
Hoe oud is Vedische Wiskunde?
In het oude India werden de Vedische rekentechnieken naar alle waarschijnlijkheid
benut voor diverse zaken, zoals bijvoorbeeld: het bouwen van mandirs,
rituele attributen, slijpen van diamanten, snijden van stoffen, economie,
handel, logistiek, (nucleaire) oorlogen en vooral tijdens complexe astronomische
berekeningen.
Doordat wiskunde in het algemeen vakneutraal is, is het aannemelijk dat
het ook vroeger overal voor gebruikt werd. Het is dus logisch dat Vedische
Wiskunde even oud is als de Vedische beschaving en die is volgens de nieuwste
inzichten minstens 11.000 jaar oud.
Vertel iets over de rekentechnieken van Vedische Wiskunde?
De rekentechnieken van Vedische Wiskunde zijn simpeler dan die van de
decimale rekenkunde, want de student leert om te kiezen voor de gemakkelijkste
methode. Er worden bij vermenigvuldigen diverse methoden aangeleerd en
tijdens elke berekening kan dan gekozen worden voor de meest effectieve.
Het is mogelijk om te vermenigvuldigen volgens de Nikhilam methode of
de Urdhva Tiryak (met of zonder vinculum).
Is Vedische Wiskunde zwarte magie?
Nee, want zwarte magie kan je alleen doen zonder verlichting.
Wiskunde is gewoon wiskunde.
Kunnen kinderen Vedische Wiskunde leren?
Ja, want ze kunnen ook het decimale rekenkundig stelsel leren en die is
stukken moeilijker en vooral saaier. De creativiteit wordt juist geaktiveerd
bij de Vedische wiskundige technieken.
Is Vedische Wiskunde toepasbaar in het basisonderwijs?
Jazeker, kinderen zouden dan meer plezier krijgen in hoofdrekenen en allemaal
veranderen in bollebozen. Ze zouden dan minder afhankelijk worden van
electronische rekenmonstertjes en tegelijkertijd creatiever en inventiever
worden, wat goed is voor een wetenschappelijke carriere.
Is het goed als Vedische Wiskunde op Hindoescholen wordt
onderwezen?
Beslist uitstekend, want dan krijgen de leerlingen op alle Hindoescholen
in Nederland een grote voorsprong op rekenkundig gebied. Er moet dan speciaal
didactisch lesmateriaal worden ontwikkeld, waarna implementatie in het
lesprogramma noodzakelijk is en bijscholing van leerkrachten. Rekenen
wordt dan leuker en real fun.
En minister Boxtel zou dan niet meer hoeven te klagen over deze niet-autochtone,
Hindoestaanse basisscholen.
Wat is de relatie tussen Hindoe
fundamentalisme en Vedische Wiskunde?
Feitelijk is er nooit enig verband geweest tussen wiskunde en politiek
of tussen wiskunde en religie. Men weet gewoon te weinig over Vedische
Wiskunde en daarom zijn er (christelijke en islamitische) verzetsgroepen
die hiertegen ageren. Het is jammer dat de wetenschappers zich bezig houden
met politiek en religie, want dat is niet de slimste weg om de problemen
op de wereld op te lossen.
Het is natuurlijk logisch dat Hindoes het recht hebben om trots te zijn
op de wiskundige prestaties van hun voorouders, want dat doen alle gepolitiseerde
volkeren op onze (arme en getergde) planeet.
Vedische wiskunde is echter geen religieuze aktiviteit, want het is gewoon
zuivere wiskunde, waar je enige intelligentie voor nodig hebt.
Er is dus geen oorzakelijk verband tussen Hindoe fundamentalisme en Vedische
Wiskunde.
Een zuiver voorbeeld van een extreme Hindoe fundamentalist is ongetwijfeld
Mahatma Mohandas Karamtsjand Gandhi (1869-1948), maar helaas stierf hij
juist vanwege zijn fundamentalisme van extreme geweldloosheid, tijdens
een van zijn toespraken.
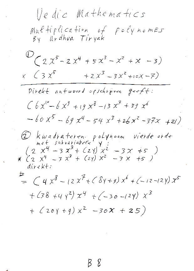
Kunt u voorbeelden geven van Vedische Wiskunde?
De hiernavolgende pagina's bevatten diverse voorbeelden.
Het mooiste is het vermenigvuldigen van binaire getallen door toepassing
van de Urdhva Tiryak methode.
Het is ook boeiend om met deze methode de coefficienten van hogere graadspolynomen
uit te rekenen, als deze vermenigvuldigd worden.
Wat is de toekomst van Vedische Wiskunde?
In de toekomst zullen alle kinderen (ongeveer 500 miljoen) op de basisscholen
in India deze rekentechnieken leren en een rekenkundige voorsprong krijgen
ten opzichte van de rest van de wereld. Er zal in India binnen vijf jaar
een speciaal onderwijshervormingsprojekt gestart worden om dit te verwezenlijken.
Tot slot.
Er kunnen fouten zitten in de berekeningen, want ik heb alles haastig
uit zitten rekenen. Indien u een rekenfout vindt, kunt u dit aan mij doorgeven.
Het leukste van Vedische wiskunde is dat het mogelijk is om met de andere
rekentechnieken steeds het antwoord op een andere wijze te controleren.
Dit is ook gedaan met enkele berekeningen.
Recommended English Literature
Jagadguru Sankaracharya Shri Bharati Krishna Tirthaji, Maharaja Shankaracharya
of Govardhana Matha, Puri, "Vedic
Mathematics or sixteem simple Mathematical Formulae from the Vedas, for
one-line answers to all Mathematical problems". published
by Motilal Banarsidas, Indological Publishers and Booksellers, Delhi,
India. First edition: Varanasi 1965. Reprinted: Delhi, 1970, 1971, 1975,
1978. Total 367 pages.
David Frawley, Subhash Kak and Georg Feuerstein, "In Search of the
cradle of civilization", New light on ancient India, published by
The Theosophical Publishing house, Wheaton, USA, 1995, 341 pages, full
English publication.
Viswanathan Ed, Am I a Hindu?: the Hindu primer, Halo Books, San Francisco,
1992.
Koenraad Elst, "Ayodya and After, Issues before Hindu Society",
publisher Voice of India, New Delhi. First edition 1991. Reprinted 1992,
1993.
Koenraad Elst, "Negationism in India, concealing the Record of Islam",
publisher Voice of India, New Delhi. First edition 1992. Second enlarged
edition, 1993. Reprint 1998.
Stephen Knapp, "Proof of Vedic Culture's Global Existence".
Publisher: The World Relief Network, U.S.A. First edition 2000.
Aanbevolen Nederlandstalige literatuur
His Divine Grace A.C. Bhaktivedanta Swami Prabhupada, "De Bhagavad-Gita
zoals ze is", volledige uitgave, The Bhaktivedanta Book Trust, 1981,
derde druk 1986.
Eva Rudy Jansen, "De beeldentaal van het Hindoeisme", Uitgeverij
Binkey Kok Publications BV, Havelte, vierde druk 2000, 150 pagina's, geheel
Nederlandstalig.
H. Verbruggen, "Hindoese mythen", Mirananda uitgevers bv, Den
Haag, vertaald uit Sanskriet en bewerkt, 1994, 197 pagina's.
Dr. J.H.J. Almering e.a., Analyse, Delftse Uitgevers Maatschappij b.v.,
5e druk 1986,
Ian Stevenson, "Bewijzen van reincarnatie", vert. uit Engels
door door drs. Ruud van Wees, Uitgeverij Ankh-Hermes bv, Deventer, 2000,
Oorspronkelijke titel: "Where Reincarnation and Biology intersect",
Praeger Publishers, Westport Connecticut, USA, 1997.
Hieronder volgen nu wat berekeningen om het gebruik van Vedische wiskunde
te demonstreren. Alle handgeschreven berekeningen zijn gescand, klik erop
om het helemaal te vieuwen.
Klik op de figuur om het helemaal te zien.












Scan serie (12) wfig0128_b01.jpg tm b12 lezing Vedic Mathematics
voor Hsfn op d.d 20 juni 2002 Haagsche Hogeschool.
***
17. Teksten online ivm lustrum herdenking poederbrieven
Links INTERN
- Intern home: Lustrum herdenking
poederbrieven Dewanand wfor1218
- Specimen: Poederbrief Dewanand
hele tekst, d.d. 5 mei 2002
- Pleitnotie Dewanand voor Stichting
Werkgroep Agni, inzake misbruik Shiva, d.d. maandag 31 december 2001
- Workshop stenciltekst Vedic
Mathematics, hsfn congres hindoeisme en wetenschap donderdag 20 juni
2002
- Colloquium Hindoeïsme
en wetenschap, programmaboekje Hsfn, 20 juni 2002
- (cel gedicht), "De ritmische
duif"
- Hindoe-organisaties manen
tot kalmte, uit telegraaf d.d. mei 2002
- Heiligverklaring Dr. Wilhelmus
S. Pim Fortuyn
- Moslims hebben geen toekomst
- 13. Publieke reacties op internet
van poederbrieven
- Interview Dewanand: Stop hindoeholocaust
- `Extreem rechts op lijst Leefbaar
Nederland' (Algemeen Dagblad Binnenland, dinsdag 22 januari 2002 )
- Interview Dewanand, de Delftsche
Courant 25 januari 2002
- Extremisten op lijst Leefbaar
(Parool, d.d. maandag 21 januari 2002)
- Hindoe tegen Hindoes (uit
site KAFKA)
- AFZENDER NEDERLANDSE POEDERBRIEVEN
LEED AAN SCHIZOFRENIE, d.d. maandag 2 december 2002
Totaal 8 cel gedichten:
- (cel gedicht), "De ritmische
duif"
- 5.2. (cel-gedicht) 'Pot'
- 5.3. (cel-gedicht) 'Eenmansleger'
- 5.4. (cel-gedicht) 'Janmaat'
- 5.5. (cel-gedicht) 'Rita, benen wijd'
- (cel-gedicht) "Mijn stalen griet"
- (cel-gedicht) "Diwali 2002"
- (cel-gedicht) "Paradijs 2002"
Intern home: Lustrum herdenking poederbrieven
Dewanand wfor1218
Home Podium Politiek
Religie Hindoeisme
Islam Suriname India
Liefde Jongeren
Literair Poezie Zeepkist
Gastenboek Links
Disclaimer Contact
Kritisch Podium Dewanand
Suriname
Alle rechten voorbehouden; All rights reserved
|
|